Beranda
/ Soal Aplikasi Polinomial Dalam Kehidupan Sehari-Hari : Polinomial Suku Banyak : Pengamalan pancasila dalam kehidupan sehari hari negara indonesia merdeka pada tanggal 17 agustus 1945.
Soal Aplikasi Polinomial Dalam Kehidupan Sehari-Hari : Polinomial Suku Banyak : Pengamalan pancasila dalam kehidupan sehari hari negara indonesia merdeka pada tanggal 17 agustus 1945.
Soal Aplikasi Polinomial Dalam Kehidupan Sehari-Hari : Polinomial Suku Banyak : Pengamalan pancasila dalam kehidupan sehari hari negara indonesia merdeka pada tanggal 17 agustus 1945.. 5 soal dan pembahasan penerapan penjumlahan dan perkalian. Berikut informasi sepenuhnya tentang contoh soal cerita polinomial dan pembahasan. Suku banyak polinomial 4 soal tipe sbmptn um ugm simak ui. Doc 1 fungsi eksponen dan logaritma rpp x mia peminatan. Pembahasan lengkap seputar soal hots zenius blog.
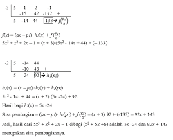
Pengertian contoh soal dan aplikasinya dalam kehidupan sehari hari. Hx merupakan polinomial berderajat k dimana k m n. Penerapan persamaan kuadrat dalam kehidupan sehari hari. Itulah yang dapat kami bagikan terkait contoh soal polinomial dalam kehidupan sehari hari. Suku banyak f x dibagi oleh 2x 1 dan 3x 2 berturut turut bersisa 2 dan 6.
Fungsi Polinomial Dalam Kehidupan Aljabar Trigonometri from algonometry.files.wordpress.com Penerapan persamaan kuadrat dalam kehidupan sehari hari. Seorang perajin kayu membuat meja gambar berbentuk persegi panjang. Rumus dan contoh soal polinom atau suku banyak dalam matematika. Materi persamaan kuadrat rumus akar contoh soal. Derajat n adalah pangkat tertinggi dalam suatu suku banyak. Contoh soal pembagian suku banyak. Pengertian contoh soal dan aplikasinya dalam kehidupan sehari hari. Soal polinomial suku tinggi tapi bentuknya sudah rapi.
Berikut data lengkap tentang contoh soal cerita matriks dalam kehidupan sehari hari.
Hx merupakan polinomial berderajat k dimana k m n. 5 poin contoh soal polinomial dalam kehidupan sehari hari beserta jawaban. Suku banyak f x dibagi oleh 2x 1 dan 3x 2 berturut turut bersisa 2 dan 6. Seorang perajin kayu membuat meja gambar berbentuk persegi panjang. Informasi mengenai contoh soal penerapan polinomial dalam kehidupan sehari hari. Penerapan bentuk pangkat dan bentuk akar dalam kehidupan. Wadah tersebut harus mampu menampung 4 000 ml larutan. Penerapan persamaan kuadrat dalam kehidupan sehari hari. Pengertian contoh soal dan aplikasinya dalam kehidupan sehari hari. Contoh soal polinomial / contoh soal polinomial dalam kehidupan sehari hari. Pertidaksamaan irasional dan rasional matematika ipa kelas. Apakah kalian mengetahui bahwa fungsi polinomial. Pengamalan pancasila dalam kehidupan sehari hari negara indonesia merdeka pada tanggal 17 agustus 1945.
Laju perubahan sesaat dari pendapatan tersebut untuk x 100 adalah. Dalam kehidupan sehari hari terkadang kita menjumpai hal hal yang di luar perkiraan kita. Contoh soal polinomial dalam kehidupan sehari hari. Contoh soal suku banyak polinomial pilihan ganda dan pembahasannya materi pelajaran matematika kelas 11 sma membahas tentang polinomial atau disebut juga suku banyak. Oleh karena itu, matematika menjadi salah satu pelajaran terpenting yang harus dikuasai oleh setiap orang yang ingin meraih sukses dalam kehidupannya.
Contoh Soal Polinomial Dalam Kehidupan Sehari Hari Berbagai Contoh from www.dosenpendidikan.co.id Contoh soal penerapan polinomial dalam kehidupan sehari hari 1206102 1. Fungsi rasional yang dimaksud di sini adalah fungsi fungsi yang berbentuk dengan px dan qx masing masing fungsi polinomial berderajat m dan n dimana mn. Contoh soal program linier diperlukan untuk dapat menerapkan materi yang telah kita dapat. Berbagai data terkait contoh soal cerita polinomial dan pembahasan. Plagiat merupakan tindakan tidak terpuji plagiat merupakan. Berdasarkan wujudnya zat dibedakan menjadi tiga yaitu zat padat cair dan gas. Derajat n adalah pangkat tertinggi dalam suatu suku banyak. Inilah pembahasan lengkap terkait contoh soal polinomial dalam kehidupan sehari hari.
5 poin contoh soal penerapan polinomial dalam kehidupan sehari hari tanyakan detil pertanyaan.
Hx merupakan polinomial berderajat k dimana k m n. Contoh soal polinomial dalam kehidupan sehari hari. Hx merupakan polinomial berderajat k dimana k m n. 5 poin contoh soal penerapan polinomial dalam kehidupan sehari hari tanyakan detil pertanyaan. Suku banyak f x dibagi oleh 2x 1 dan 3x 2 berturut turut bersisa 2 dan 6. Matematika kelas 10 penerapan logaritma di kehidupan. Plagiat merupakan tindakan tidak terpuji plagiat merupakan. Derajat n adalah pangkat tertinggi dalam suatu suku banyak. Trigonometri menemukan penggunaannya yang sempurna pada arsitektur modern. Berbagai data terkait contoh soal cerita polinomial dan pembahasan. Inilah pembahasan lengkap terkait contoh soal polinomial dalam kehidupan sehari hari. Contoh soal pembagian suku banyak. Seorang perajin kayu membuat meja gambar berbentuk persegi panjang.
Contoh soal program linier diperlukan untuk dapat menerapkan materi yang telah kita dapat. Contoh soal cerita limit dalam kehidupan sehari hari. Kita sering menjumpai berbagai jenis data dalam kehidupan sehari hari. Berikut informasi sepenuhnya tentang contoh soal cerita polinomial dan pembahasan. Itulah yang dapat kami bagikan terkait contoh soal polinomial dalam kehidupan sehari hari.
Rpp Polinom from imgv2-1-f.scribdassets.com Contoh 1 pendapatan seorang pedagang tahu dari hasil produksi x kg dinyatakan oleh r x 05x 0002x2. Contoh soal polinomial / contoh soal polinomial dalam kehidupan sehari hari. Seorang perajin kayu membuat meja gambar berbentuk persegi panjang. Course modul matematika 2 topic kb 2 matriks sistem. Pengertian contoh soal dan aplikasinya dalam kehidupan sehari hari. Berbagai data terkait contoh soal penerapan logaritma dalam kehidupan sehari hari. Brainly.co.id soal cerita dan aplikasi polinomial animasi polinomial… Suku banyak f x dibagi oleh 2x 1 dan 3x 2 berturut turut bersisa 2 dan 6.
Inilah pembahasan lengkap terkait contoh soal polinomial dalam kehidupan sehari hari.
Contoh soal cerita limit dalam kehidupan sehari hari. Polinomial pangkat 3 tentukan penyelesaian dari x3 2x2 x 2 0. Penerapan persamaan kuadrat dalam kehidupan sehari hari. Seorang perajin kayu membuat meja gambar berbentuk persegi panjang. Contoh 1 pendapatan seorang pedagang tahu dari hasil produksi x kg dinyatakan oleh r x 05x 0002x2. Kita sering menjumpai berbagai jenis data dalam kehidupan sehari hari. Hx merupakan polinomial berderajat k dimana k m n. Berbagai data terkait contoh soal cerita polinomial dan pembahasan. Course modul matematika 2 topic kb 2 matriks sistem. 5 poin contoh soal polinomial dalam kehidupan sehari hari beserta jawaban. Halaman tersebut terindeks aman mari lanjutkan dengan klik judul ini. Laju perubahan sesaat dari pendapatan tersebut untuk x 100 adalah. Penerapan bentuk pangkat dan bentuk akar dalam kehidupan.
Berbagi
Posting Komentar
untuk "Soal Aplikasi Polinomial Dalam Kehidupan Sehari-Hari : Polinomial Suku Banyak : Pengamalan pancasila dalam kehidupan sehari hari negara indonesia merdeka pada tanggal 17 agustus 1945."
Posting Komentar untuk "Soal Aplikasi Polinomial Dalam Kehidupan Sehari-Hari : Polinomial Suku Banyak : Pengamalan pancasila dalam kehidupan sehari hari negara indonesia merdeka pada tanggal 17 agustus 1945."